PETA Sebaran Virus Corona Indonesia Rabu 2 September 2020: DKI Jakarta dan Jawa Timur Teratas
Simak di bawah ini sebaran Virus Corona atau Covid-19 Indonesia terbaru hari ini, Rabu 2 September 2020.
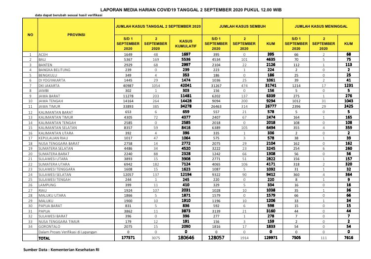
32. Sulawesi Tengah
Kasus Baru: 1 orang
Sembuh: 220 orang
Meninggal Dunia: 9 orang
Terkonfirmasi: 245 orang
33. Kepulauan Bangka Belitung
Kasus Baru: - orang
Sembuh: 224 orang
Meninggal Dunia: 2 orang
Terkonfirmasi: 239 orang
34. Nusa Tenggara Timur
Kasus baru: 12 orang
Sembuh: 159 orang
Meninggal Dunia: 2 orang
Terkonfirmasi: 191 orang
Kesimpulan data pasien virus corona (Covid-19) di Indonesia per Rabu (2/9/2020):
Jumlah Kasus:
Selasa, 1 September 2020: 177.571 kasus
Rabu, 2 September 2020: 3.075 kasus
Total : 180.646 kasus
Jumlah Pasien Sembuh:
Selasa, 1 September 2020: 128.057 kasus
Rabu, 2 September 2020: 1.914 kasus
Total : 129.971 kasus
Jumlah Pasien Meninggal Dunia:
Selasa, 1 September 2020: 7.505 kasus
Rabu, 2 September 2020: 111 kasus
Total : 7.616 kasus
(TribunTernate.com)
Artikel ini telah tayang di Tribunternate.com dengan judul UPDATE Sebaran Virus Corona Indonesia Rabu (2/9/2020): DKI Catat 1.054 Kasus Baru dan 474 Sembuh
:quality(30):format(webp):focal(0.5x0.5:0.5x0.5)/padang/foto/bank/originals/ilustrasi-corona-atau-covid-19-psbb.jpg)